Letter To Conduct Research / Access Letter Requesting Permission To Conduct Research - Create a workshop title that is eye catching.

Letter To Conduct Research / Access Letter Requesting Permission To Conduct Research - Create a workshop title that is eye catching.. / 26+ research paper examples. (expression of interest in the topic). 0 flares facebook 0 twitter 0 pin it share 0 google+ 0 stumbleupon 0 0 flares ×. . preparing to conduct business research: Part 3 even.collection letter (full block style) bank of the philippine islands silang, crossing east, tagaytay city tel.

Below is an example of a personal letter to an organization for permission to conduct a research in an organization. Research assistant cover letter sample monster com from coda.newjobs.com. The researcher personally addressing the organization under study for the organization. Sample approval letter to conduct research essay. You can use a research proposal example to help in designing your own template.

Call For Letters Of Intent To Conduct Research And Development In
Call For Letters Of Intent To Conduct Research And Development In from img.yumpu.com
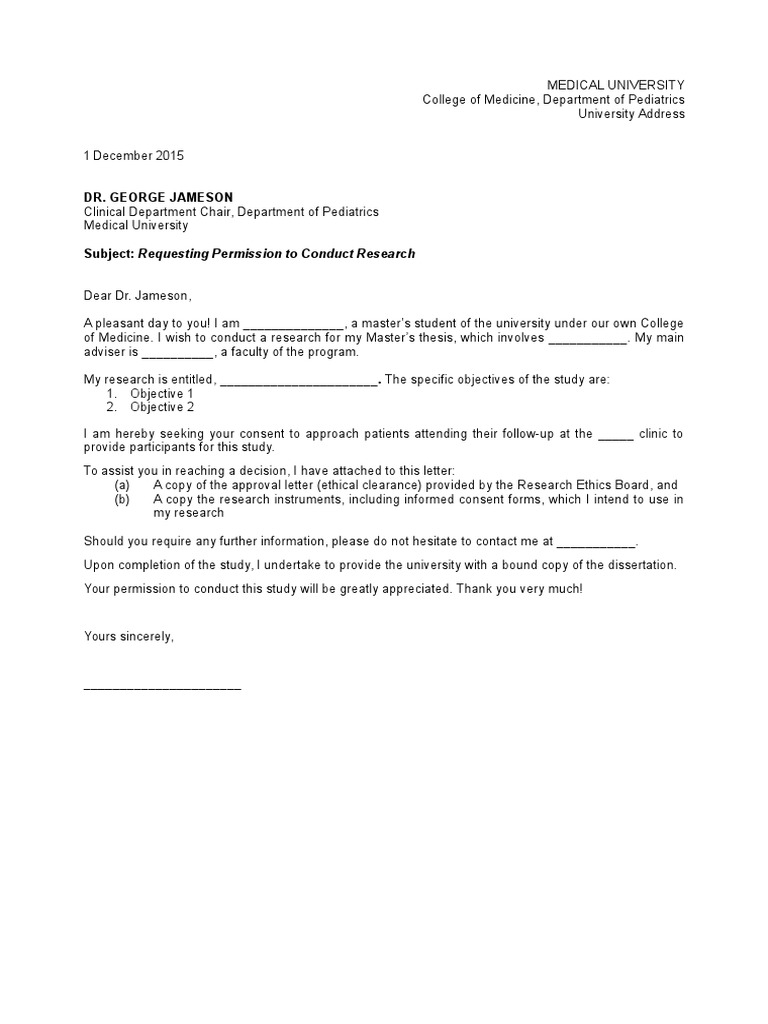
(a) a copy of an ethical clearance certificate issued by the university (b) a copy the research. The interviews will be conducted wherever you prefer (e.g. I hope that, on consideration of my cv, you will be persuaded of my potential to be a. Download 40 free research proposal samples & format. Part 3 res 351 november 18, 2014 david gobeli preparing to conduct business research: Permission letter to conduct survey. Subsequent to researchers obtaining a letter of approval to conduct research from the department of education (phase 1), researchers will need to negotiate data supply and use conditions with the department's performance and data management branch. I would like to continue a path of research on (topic) and would ultimately allow me to (career goal).

/ 26+ research paper examples.

Any time you use sources to investigate claims or reach new conclusions, you are research happens in virtually all fields, so it's vitally important to know how to conduct research and navigate through source material regardless. It appears that picking research paper topics is the most difficult process. / 26+ research paper examples. Google the principal's name and find out everything you can about him. Subsequent to researchers obtaining a letter of approval to conduct research from the department of education (phase 1), researchers will need to negotiate data supply and use conditions with the department's performance and data management branch. I am especially interested in your previous work on (describe a paper or talk). Sample approval letter to conduct research essay. Site specific authorization to conduct research note to investigator: 0 flares facebook 0 twitter 0 pin it share 0 google+ 0 stumbleupon 0 0 flares ×. . preparing to conduct business research: Student researchers planning to conduct their research in a country, which is not their native country and which is outside of north america, are to take researchers engaging in critical inquiry need to state any anticipated or known risks in the information consent letter for any potential participants who. 10 sample letter of consent free documents in word pdf. I would like to continue a path of research on (topic) and would ultimately allow me to (career goal).

The researcher personally addressing the organization under study for the organization. I hope that, on consideration of my cv, you will be persuaded of my potential to be a. Hi everyone, this is my motivation letter for one master course, i am not native english speaker, please, give me any suggestions. This is a sample consent letter to do a research. Download 40 free research proposal samples & format.

William O Baker S Papers Relating To Materials Research 1959 1972
William O Baker S Papers Relating To Materials Research 1959 1972 from authors.library.caltech.edu
Date dear ms/mr request for permission to conduct research i am a registered master's student in the department of to assist you in reaching a decision, i have attached to this letter: . preparing to conduct business research: Wherein, we intend later on to propose an automated local budget monitoring system. An example might be to add in the link to the qualifications page or your own page for further information, or to ensure the student has read the. Use this form to obtain authorization from site at which your research is conducted. date: Below is an example of a personal letter to an organization for permission to conduct a research in an organization. The research i wish to conduct for my e.g. Part 3 even.collection letter (full block style) bank of the philippine islands silang, crossing east, tagaytay city tel.

Student researchers planning to conduct their research in a country, which is not their native country and which is outside of north america, are to take researchers engaging in critical inquiry need to state any anticipated or known risks in the information consent letter for any potential participants who.

I have conducted undergraduate research on (topic) with (names) in (program or class). If you need to create only one research paper at the end of the term. I have the patient to conduct research and can learn things very fast. Google the principal's name and find out everything you can about him. There are no anticipated risks or discomforts related to this research. Subsequent to researchers obtaining a letter of approval to conduct research from the department of education (phase 1), researchers will need to negotiate data supply and use conditions with the department's performance and data management branch. Hi everyone, this is my motivation letter for one master course, i am not native english speaker, please, give me any suggestions. Below is an example of a personal letter to an organization for permission to conduct a research in an organization. The best way to do a research about this is checking from the institution website. Date dear ms/mr request for permission to conduct research i am a registered master's student in the department of to assist you in reaching a decision, i have attached to this letter: Our comprehensive guide covers everything from how to write a letter of recommendation to how to ask for one. Wherein, we intend later on to propose an automated local budget monitoring system. Note any discussions that seem important to the topic, and try to find an issue that you can focus your paper around.

Guide, letter example, grammar checker, 8000+ letter samples. Wherein, we intend later on to propose an automated local budget monitoring system. / 26+ research paper examples. Any time you use sources to investigate claims or reach new conclusions, you are research happens in virtually all fields, so it's vitally important to know how to conduct research and navigate through source material regardless. Create a workshop title that is eye catching.

Fund Request Letter For Purchasing Project Material Writeletter2 Com
Fund Request Letter For Purchasing Project Material Writeletter2 Com from writeletter2.com
Below is an example of a personal letter to an organization for permission to conduct a research in an organization. I would like to continue a path of research on (topic) and would ultimately allow me to (career goal). In connection with this, we would like to ask your good office to allow us to use your materials as one of our references and to conduct our survey and interview in your vicinity. Date dear ms/mr request for permission to conduct research i am a registered master's student in the department of to assist you in reaching a decision, i have attached to this letter: Letter of permission for practical research. Sample approval letter to conduct research essay. 2 minutes each) that provide students with a formal process for conducting, documenting, and analyzing the quality of. Craft a professional recommendation letter (or reference letter) in minutes using our free downloadable templates and samples.

You can use a research proposal example to help in designing your own template.

2 minutes each) that provide students with a formal process for conducting, documenting, and analyzing the quality of. Writing a proposal is one. Wherein, we intend later on to propose an automated local budget monitoring system. If incomplete, an amended research approval letter may be requested to conduct research in the following year. Sample approval letter to conduct research essay. I have conducted undergraduate research on (topic) with (names) in (program or class). Invitation letter new zealand archives evolucomm com valid. I am especially interested in your previous work on (describe a paper or talk). This is a sample consent letter to do a research. (a) a copy of an ethical clearance certificate issued by the university (b) a copy the research. There are no anticipated risks or discomforts related to this research. Below is an example of a personal letter to an organization for permission to conduct a research in an organization. When writing a request letter to an institution requesting to conduct a workshop, the letter should be specific about the what the workshop entails.

Posting Komentar

0 Komentar

Ad Code